EX-10.31 2 pressure_pumpingxservicesx.htm EXHIBIT 10.31 Exhibit
Execution Version

PRESSURE PUMPING SERVICES AGREEMENT
#5795049
This Pressure Pumping Services Agreement (this “Agreement”), effective as of the Effective Date (as defined in Article 25), is between Pioneer Natural Resources USA, Inc., a Delaware corporation with its principal place of business at 5205 North O’Connor Blvd., Suite 200, Irving, Texas 75039 (“Company”), and ProPetro Services, Inc., a Texas corporation with its principal place of business at 1706 S. Midkiff, Bldg. B, Midland, Texas 79701 (“Contractor”). Company and Contractor are sometimes hereinafter individually referred to as a “Party,” and collectively as the “Parties.”
WHEREAS, Company is the operator of certain oil and gas wells drilled and to be drilled in certain areas;
WHEREAS, Company desires Contractor to provide dedicated hydraulic fracturing Fleets (as defined in Article 3) to Company for the performance of fracture stimulation pumping services, including all pump down operations associated therewith, and provision of associated products in connection with Company’s operations (the “Services”); and
WHEREAS, Contractor desires to perform, and represents that it has fully-trained personnel capable of performing Services as required by Company;
NOW, THEREFORE, for and in consideration of the covenants and promises herein contained, and other good and valuable consideration, the receipt and sufficiency of which is hereby acknowledged, the Parties hereto agree as follows:
1.
Master Service/Sales Agreement. This Agreement is subject to the terms and conditions of that certain Amended and Restated Master Service/Sales Agreement by and between Company and Contractor dated May 16, 2016 (as amended, supplemented or otherwise modified, the “MSSA”) which is hereby incorporated by reference into this Agreement. In the event of any conflict or inconsistency between the terms and conditions of the MSSA and this Agreement, the terms of this Agreement shall govern.
2.
Term.
(a)
The term of this Agreement shall begin on the Effective Date and shall continue for a period ending December 31, 2028 (the “Term”); provided, that Company shall have the right, exercisable in its sole discretion, to terminate this Agreement (a) in whole or (b) in part, with respect to one or more Fleets, effective as of December 31 of each of the calendar years 2022, 2024 and 2026 by providing written notice thereof to Contractor not later than July 1 of such calendar year. Following receipt of written notice from Company to commence initial mobilization, Contractor shall be responsible for the mobilization and demobilization of Contractor’s personnel and equipment and the performance of the Services in accordance with this Agreement. The Parties anticipate that such commencement will occur on or about January 1, 2019 (“Commencement Date”).





(b)
This Agreement supersedes and replaces that certain Pressure Pumping Services Agreement by and between Company and Contractor dated January 23, 2017 (as amended, supplemented or otherwise modified, the “Existing PPSA”) in all respects effective as of the Effective Date. Except as provided in this Article 2(b), commencing on the Effective Date, (i) the Parties hereby agree to terminate the Existing PPSA, (ii) Contractor shall cease providing services to Company, and Company will cease obtaining services from Contractor, pursuant to the terms and conditions set forth in the Existing PPSA, and (iii) Contractor will commence providing Services to Company, and Company will commence obtaining Services from Contractor, pursuant to the terms and conditions set forth in this Agreement. Neither Party will be deemed to have waived, or to have released the other Party from, any claim, issue or dispute arising, becoming known or discovered or asserted after the Effective Date but relating to a Party’s performance or nonperformance under the Existing PPSA. The resolution of any such claim, issue or dispute will continue to be governed by the terms and conditions of the Existing PPSA. In addition, Company will remain obligated to pay to Contractor all amounts properly payable by Company pursuant to the Existing PPSA that, in accordance with the regular invoice and payment process, had not been invoiced to or paid by Company as of the Effective Date. The terms of the Existing PPSA shall survive its termination and remain in full effect for purposes of the matters described in this Article 2(b).
3.
Pricing and Scope of Work.
(a)
Contractor shall perform the Services in accordance with each applicable work order or other instrument used by Company to authorize the performance of the Services and Contractor’s net price book that is mutually agreed to between Company and Contractor (the “Net Price Book”). Rates for items not included in the Net Price Book or expressly provided herein shall be agreed upon in writing by the Parties. The Net Price Book will be subject to adjustments as set forth in Article 4. Company shall not be liable for any markup by Contractor on goods or services provided by any third party subcontractor or supplier of Contractor. Additionally, Company shall not be liable for any detention, demurrage, or non-utilization charges incurred by Contractor in connection with trucking services provided by Contractor or its subcontractors in furtherance of the Services, except if and to the extent that any such detention, demurrage, or non-utilization charges are directly caused by any member of the Company Group (as such term is defined in the MSSA), as determined by Company in good faith.
(b)
Beginning on the Commencement Date, Contractor shall deliver eight (8) hydraulic fracturing fleets to Company to perform the Services (“Fleets”), with such Fleets dedicated exclusively to Company throughout the Term. For each Fleet, there shall be (i) sufficient personnel and equipment capable of sustaining maximum treating pressures of 10,000 pounds per square inch and maximum pump rates of 100 barrels per minute for each well in the performance of the Services, (ii) on-site storage equipment capable of holding a minimum of 5,000,000 pounds of proppant, and (iii) sufficient personnel and equipment capable of providing all pump down operations required in connection with the Services. If Company’s job design for a well requires treating pressures or pump rates in excess of the amounts set forth above, Company will provide Contractor sufficient notice to allow Contractor to secure any additional equipment and materials that may be necessary to satisfy such requirements. Contractor will be solely responsible for the operation of the equipment, and the equipment shall remain under the control of Contractor at all times. Contractor shall provide trained and qualified personnel to perform the Services. In satisfying its Fleet obligations under this Agreement, Contractor will have the sole right to

-2-




determine the equipment included in each Fleet, subject to (i) Contractor’s compliance with the requirements of this Agreement, and (ii) Contractor consulting with Company within a reasonable period of time (but at least ten (10) days) before changing the then-current configuration or components of any Fleet.
(c)
Company hereby grants Contractor a right of first offer (“ROFO”) with respect to any coiled tubing services that may be required by Company as part of the Services (the “Coiled Tubing Services”), subject to the terms and conditions set forth in this Article 3(c). If Company requires any Coiled Tubing Services, then Company shall provide Contractor with written notice thereof, identifying the location(s), time period(s) and other particulars with respect to the Coiled Tubing Services that Company requires (the “ROFO Offer”). If Contractor has sufficient coiled tubing equipment available to perform Coiled Tubing Services at the location(s) and during the time period(s) required per a ROFO Offer, then Contractor shall provide such Coiled Tubing Services to Company under the terms of this Agreement and the Pricing Agreement by and between Company and Contractor effective as of the Effective Date. However, if Contractor does not have such equipment available to perform Coiled Tubing Services at the location(s) and during the time period(s) required per a ROFO Offer, then that ROFO Offer shall be of no further force or effect, the ROFO granted herein shall automatically terminate and be null and void as to the subject Coiled Tubing Services, and Company may procure such Coiled Tubing Services from any third party. Notwithstanding anything to the contrary contained in this Article 3(c): (i) Contractor will not have a ROFO with respect to any Coiled Tubing Services if, at the time that Company wishes to make a ROFO Offer to Contractor, Contractor is not in compliance with the terms of this Agreement; and (ii) the ROFO granted herein shall automatically terminate and be null and void with respect to any and all Coiled Tubing Services that Company requires after such date on which Contractor has failed to meet any of the key performance indicators for the Coiled Tubing Services that are set forth in Exhibit A.
4.
Periodic Pricing Adjustments.
(a)
Effective as of such date that is six (6) months after the Effective Date and every six (6) months thereafter during the Term (each a “Price Adjustment Date”), Contractor shall apply a price adjustment mechanism that is mutually agreed to between Company and Contractor (the “PAM”) to the materials and services that compose the then-current standard job price that is mutually agreed to between Company and Contractor (the “Standard Job Price”). Contractor, in consultation with Company, shall make adjustments to the unit prices of line items in the then-current Net Price Book necessary to achieve a revised Standard Job Price reflective of the PAM with the resulting adjustments set forth in a revised Net Price Book to be prepared by Contractor. Such adjustments shall be effective retroactively and prospectively for all Services that are commenced during the applicable six (6)-month period. Contractor shall submit the revised Net Price Book and a revised Standard Job Price to Company, along with a pricing memorandum in a form and format agreed upon by the Parties that details the application of the PAM, in each case by the fifteenth (15th) day following the applicable Price Adjustment Date.
(b)
If a Party (i) implements new technology with respect to the Services that materially improves the quality, efficiency, capability, safety, or other performance metrics of the Fleets hereunder, or (ii) identifies new technology that it believes would, if implemented with respect to the Services, achieve such improvements, then that Party will provide the other Party notice thereof. Promptly thereafter, the Parties will conduct good-faith negotiations (i) if such technology is

-3-




not yet implemented, to agree to a commercially reasonable plan to acquire and implement such new technology; and (ii) to make equitable adjustments to the Net Price Book, the composition of a Fleet, and the minimum Efficiency Rate and Per Pad Stage Attainment Rate to account for such improvements.
5.
Invoicing; Credits.
(a)
Contractor shall issue invoices to Company for the Services on a per-well basis and otherwise in accordance with the MSSA.
(b)
Without limiting Company’s rights or remedies under this Agreement or at law or in equity, Company may deduct any amount that Company determines in good faith is owed by Contractor to Company under this Agreement (each such deduction, a “Credit”) from any charges invoiced by Contractor hereunder or against other amounts owed by Company to Contractor under this Agreement. Company shall notify Contractor in advance of applying any Credit against any charges invoiced by Contractor hereunder or against other amounts owed by Company to Contractor under this Agreement. Such Credits shall not limit or affect any right of Company to recover any damages incurred by Company as a result of any failure by Contractor to perform the Services or any other obligation contemplated by this Agreement. Credits shall not expire and may be held by the Company until fully utilized. Upon the expiration or any termination of this Agreement, any remaining Credits shall be paid or credited to Company, at Company’s election and in its sole discretion.
6.
Option for Additional Fleets. Notwithstanding anything contained in Article 3 above, the Parties agree that in consideration of U.S. $10 paid by Company to Contractor, the receipt and sufficiency of which is hereby acknowledged, Company has the option, but not the obligation, to add additional incremental Fleets from Contractor (each, an “Additional Fleet”), but not more than two (2) Additional Fleets in any calendar year, which Additional Fleets shall be under the same terms and conditions as set forth in this Agreement. Such option shall expire on December 31, 2022. Company shall provide Contractor with nine (9) months’ written notice of its election to exercise its option to add an Additional Fleet. In addition, during the first year of the Term, Company may add one (1) additional incremental Fleet upon at least sixty (60) days’ written notice to Contractor that will consist of Contractor’s then available equipment and will not constitute a new order (the “First Year Additional Fleet”). The Parties shall work together in good faith to determine mobilization dates for the First Year Additional Fleet and each Additional Fleet, as applicable; provided, however, Company may postpone the agreed mobilization date for the First Year Additional Fleet by a period of time designated by Company (such postponement period not to exceed thirty (30) days, unless otherwise agreed in writing by the Parties), provided that Company notifies Contractor in writing of such postponement at least thirty (30) days prior to the original agreed mobilization date for the First Year Additional Fleet. Commencing on their applicable mobilization dates, the First Year Additional Fleet and each Additional Fleet shall be considered a Fleet for all purposes hereof.
7.
Efficiency Rate; Non-Productive Time; Equipment Mobilization.
(a)
Contractor shall be capable of performing the Services in accordance with the requirements of this Agreement on a twenty-four (24) hour basis, seven (7) days a week. For each well where Contractor is performing the Services, Contractor shall perform the Services at an efficiency rate of at least ninety percent (90%) (“Efficiency Rate”), which shall be calculated as set forth in Exhibit B; provided, however, that for purposes of this Article 7, neither Fleet Mobilization

-4-




Time (defined below) nor any time period that the Parties may agree to, including a holiday or time period associated with a weather event, shall be Company or Contractor Non-Productive Time (defined below). “Fleet Mobilization Time” is the amount of time, as is mutually agreed to between Company and Contractor, that each Fleet is allowed to move between pads in order to set up and be Mobilized on Location. A Fleet will be “Mobilized on Location” when the Fleet is fully mobilized on a Company well-site and fully capable of performing the Services.
(b)
Subject to Article 7(a), (i) each hour or fractional hour that Contractor does not perform the Services when a Fleet is Mobilized on Location (as defined below) for any reason, other than White Space or an Idle Period (each defined below), that is attributable to the sole fault of any member of the Company Group, will be “Company Non-Productive Time” or “Company NPT” and (ii) each hour or fractional hour that Contractor does not perform the Services for any reason not attributable to Company NPT will be “Contractor Non-Productive Time” or “Contractor NPT.”
8.
Stage Attainment Rate. Upon the completion of each pad, each Contractor Fleet shall be required to achieve a Stage Attainment Rate (as defined below) of ninety-five (95%) (the “Per Pad Stage Attainment Rate”). “Stage Attainment Rate” shall be determined as follows:
First, calculate the target number of Stages to be attained for a day of Services by a Fleet:
pumpfiling.jpg

Third, upon that Fleet’s completion of Services for the subject pad, average the daily Stage Attainment Rates applicable to such pad. An example calculation of the Stage Attainment Rate is attached hereto as Exhibit C.
    
Pump Time” means the planned time to complete a Stage, given the fluid volume and pump rate for such Stage, according to Company’s design.

A “Stage” means the perforation of a portion of the well casing and injection of fluid into the perforated zone, according to Company’s design. A Stage is completed when a plug is set that completely seals off the portion of the well casing that was perforated and into which fracturing fluid was pumped according to Company’s design.

Switch-Over Time” means the time that Company allots to Contractor to move its equipment between wells, according to Company’s design.

9.
Materials and Logistics. Company shall have the right, in Company’s sole discretion and upon at least ninety (90) days’ prior written notice to Contractor, to supply all or a portion of the proppant, proppant trucking, coiled tubing services, friction reducer, high viscosity friction reducer, surfactant,

-5-




and diesel fuel and trucking (collectively, the “Company Provided Materials”) to Contractor for purposes of Contractor’s performance of the Services, as well as the right to have Contractor provide such materials. In the event that Company exercises its right to supply any of the Company Provided Materials, Contractor shall make corresponding equitable adjustments to the unit prices contained in the then-current and each subsequent Net Price Book (and not simply the elimination of the applicable line item(s)). As of the Effective Date, Company elects to provide all high viscosity friction reducer, friction reducer, surfactant and proppant. At Company’s election, Company reserves the right to supply any other materials in furtherance of the performance of the Services; provided, however, that Company’s right to supply any other materials in furtherance of the performance of the Services shall not apply if and to the extent that Contractor is expressly required to purchase any quantity of any such materials under any agreements that have been assigned by Company or Pioneer Natural Resources Pumping Services LLC to ProPetro Holding Corp. pursuant to that Purchase and Sale Agreement by and among Company, Pioneer Natural Resources Pumping Services LLC and ProPetro Holding Corp., dated November 12, 2018 (the “PSA”), in each case per the express terms of such agreements as of the date of their assignment by Company (and not as they may be later amended or otherwise modified).
10.
White Space.
(a)
White Space” means any full day or period of consecutive full days during which a Fleet is capable of performing the Services in accordance with this Agreement, but is not scheduled by Company to perform the Services. With respect to each Fleet, White Space does not include: (i) the first ten (10) days of Fleet Mobilization Time per quarter; (ii) any Fleet Mobilization Time to the extent Contractor’s time to move such Fleet between pads and set up and be Mobilized on Location exceeds seventy-two (72) hours; (iii) any time period that a Fleet is Mobilized on Location; or (iv) any time period during which a Fleet performs services for a third party customer of Contractor. The Parties shall work together in good faith to maintain a schedule for the Services that minimizes, to the extent commercially reasonable, the potential for White Space.
(b)
Company shall advise Contractor of any anticipated days of White Space for a Fleet as soon as is reasonably practicable. Company shall provide to Contractor at least seventy-two (72) hours’ notice of the date for the affected Fleet to resume its performance of the Services following the anticipated White Space (the “Return Date”). Unless otherwise expressly notified by Company in writing, the affected Fleet shall resume its performance of the Services on such Return Date.
11.
Idle Periods.
(a)
Should Company elect to idle a Fleet, Company may issue a written notice to Contractor regarding such election (an “Idle Period Notice”). Any time period that a Fleet is idled pursuant to an Idle Period Notice is an “Idle Period.” An Idle Period shall not be considered White Space. Upon receipt of an Idle Period Notice, Contractor shall use commercially reasonable efforts to employ the affected Fleet in work with a substitute customer during any such anticipated Idle Period.
(b)
During an Idle Period, Company shall not enter into any agreement with a third party to provide stimulation pumping services that could otherwise be timely performed by an idled Fleet in accordance with the terms of this Agreement. If Company wishes to re-activate a Fleet idled pursuant to Article 11(a), Company shall provide at least sixty (60) days’ written notice in advance of the Return Date for such Fleet in order to allow Contractor to timely secure personnel and

-6-




equipment suitable for the Services. In the event that Contractor fails to achieve the Return Date set forth in a notice issued by Company in accordance with this Article 11(b), Contractor shall be liable to Company for charges in an amount to be mutually agreed by Company and Contractor (such amount, the “Return Date Overage Amount”). Following Contractor’s receipt of notice from Company of a Return Date applicable to an idled Fleet, Contractor shall not enter in any commitment as to such Fleet that extends beyond the designated Return Date. However, notwithstanding the foregoing, if, prior to Contractor’s receipt of notice by Company of a Return Date for an idled Fleet, Contractor has entered into a binding agreement with a third party for such Fleet for a term that extends beyond the Return Date specified by Company, (i) Contractor shall have no liability to Company for any Return Date Overage Amounts applicable to days for which such Fleet is so bound; and (ii) Company may enter into an agreement with a third party to perform services that would otherwise be provided by such Fleet.
12.
Reservation Periods. Within ten (10) business days following the beginning of each calendar quarter during the Term, Contractor shall determine the total number of days attributable to (i) White Space for all Fleets that were not subject to an Idle Period during the preceding calendar quarter (the “White Space Period”), and (ii) Idle Period(s) for each Fleet that was subject to an Idle Period.
13.
Venue. Each Party consents to personal jurisdiction in any action brought in the United States federal and state courts located in the State of Texas with respect to any dispute, claim or controversy arising out of or in relation to or in connection with this Agreement, and each of the Parties agrees that any action with respect to any such dispute, controversy, or claim will be determined exclusively in a state or federal district court located in Dallas County, Texas. EACH PARTY HEREBY IRREVOCABLY WAIVES, TO THE FULLEST EXTENT PERMITTED BY LAW, ANY OBJECTION WHICH THEY MAY NOW OR HEREAFTER HAVE TO THE VENUE OF ANY SUCH DISPUTE ARISING OUT OF THIS AGREEMENT BROUGHT IN SUCH COURT OR ANY DEFENSE OF INCONVENIENT FORUM FOR THE MAINTENANCE OF SUCH DISPUTE. EACH PARTY HEREBY IRREVOCABLY WAIVES ITS RIGHT TO A JURY TRIAL WITH RESPECT TO ANY CLAIM BROUGHT BY IT OR BROUGHT BY THE OTHER PARTY THAT ARISES OUT OF THIS AGREEMENT.
14.
Remedies.
(a)
If Contractor fails to perform any Services in accordance with this Agreement, Company may exercise any one or more of the following remedies:
(i)
provide the affected Services itself or procure such Services from an alternate source, in which case Contractor shall reimburse Company for the costs incurred by Company in providing or procuring such Services to the extent that such costs exceed the applicable Net Price Book prices for such Services (even if such Net Price Book prices were not paid by Company);
(ii)
require Contractor to procure the affected Services from a third party selected by Company and have such third party provide such Services to Company at no additional cost to Company;
(iii)
require Contractor to reimburse Company for any amounts paid by Company to Contractor with respect to the affected Services; and

-7-




(iv)
require Contractor to take any other actions that the Company deems to be necessary to timely address Contractor’s failure to perform, which may include (1) re-performing the relevant job, (2) supplementing the affected Fleet or crew, and (3) replacing the affected Fleet or crew.
Any period(s) of time during which is Company is exercising any of the remedies set forth in this Article 14(a) shall not be considered Company NPT, Contractor NPT, White Space, or an Idle Period for the Fleet(s) whose performance Company is seeking to remedy.
(b)
The rights and remedies of Company provided in this Article 14 are not exclusive, and are in addition to any other rights and remedies provided under this Agreement or at law or in equity, notwithstanding anything herein to the contrary.
15.
Termination.
(a)
Either Party may terminate this Agreement by delivery of a written termination notice to the other Party, in the event the other Party becomes insolvent, files a petition in bankruptcy, has a petition in involuntary bankruptcy filed against such Party (which petition is not terminated within sixty (60) days of filing), or makes an assignment for the benefit of its creditors. Such termination shall be effective immediately upon delivery of written notice of termination.
(b)
Company may, by delivery of a written termination notice to Contractor:
(i)
Terminate this Agreement with respect to a particular Fleet if such Fleet fails to achieve the Per Pad Stage Attainment Rate (A) for three (3) consecutive pads or (B) for three (3) pads within any rolling six (6)-pad period. Such termination shall be effective upon the date specified in Company’s termination notice to Contractor and Company shall not have any termination liability to the Contractor under this Agreement; or
(ii)
Terminate this Agreement in its entirety in the event of a Change in Control. “Change in Control” means the occurrence of any of the following events:
(1)
The acquisition by any person of beneficial ownership (as defined in Rule 13d‑3 of the Securities Act of 1934) of securities of ProPetro Holding Corp., a Delaware corporation (“Parent”), that, together with securities held by such person, constitutes fifty percent (50%) or more of either (x) the then outstanding shares of common stock of Parent (the “Outstanding Parent Stock”) or (y) the combined voting power of the then outstanding voting securities of Parent entitled to vote generally in the election of directors (the “Outstanding Parent Voting Securities”); provided, however, that for these purposes, an acquisition by any person pursuant to a transaction which complies with clauses (A), (B) and (C) of clause (3) below shall not constitute a Change in Control;
(2)
A majority of the members of the board of directors of Parent (the “Board”) is replaced during any twelve (12)-month period by directors whose appointment or election is not endorsed by a majority of the members constituting the Board prior to the date of the appointment or election;
(3)
Consummation of a reorganization, merger or consolidation or sale or other disposition of all or substantially all of the assets of Parent or an acquisition of assets of another

-8-




entity (a “Business Combination”), in each case, unless, following such Business Combination, (A) all or substantially all of the individuals and entities who were the beneficial owners, respectively, of the Outstanding Parent Stock and Outstanding Parent Voting Securities immediately prior to such Business Combination beneficially own, directly or indirectly, more than fifty percent (50%) of, respectively, the then outstanding shares of common stock or common equity interests and the combined voting power of the then outstanding voting securities entitled to vote generally in the election of directors or other governing body, as the case may be, of the entity resulting from such Business Combination (including, without limitation, an entity which as a result of such transaction owns Parent or all or substantially all of Parent’s assets either directly or through one or more subsidiaries) in substantially the same proportions as their ownership, immediately prior to such Business Combination of the Outstanding Parent Stock and Outstanding Parent Voting Securities, as the case may be, (B) no person beneficially owns, directly or indirectly, fifty percent (50%) or more of, respectively, the then outstanding shares of common stock or common equity interests of the entity resulting from such Business Combination or the combined voting power of the then outstanding voting securities of such entity except to the extent that such ownership results solely from ownership of Parent that existed prior to the Business Combination and (C) at least a majority of the members of the board of directors or similar governing body of the entity resulting from such Business Combination, at the time of the execution of the initial agreement, or of the action of the Board, providing for such Business Combination, were members of the board of directors of Parent as of the Effective Date, or became members of the board of directors of Parent after the Effective Date and whose election or appointment or nomination for election by Parent’s stockholders was approved by a vote of at least a majority of the directors then comprising the board of directors of Parent;
(4)
Approval by the stockholders of Parent of a complete liquidation or dissolution of Parent;
(5)
Contractor is no longer a wholly owned subsidiary (or a wholly owned subsidiary of one or more wholly owned subsidiaries) of Parent; and
(6)
The consummation of a reorganization, merger, consolidation, sale or other disposition of all or substantially all of the assets of Contractor to a person that is not wholly owned subsidiary (or a wholly owned subsidiary of one or more wholly owned subsidiaries) of Parent.
(c)
Contractor may, by delivery of a written termination notice to Company, terminate this Agreement with respect to a particular Fleet, if Company fails to pay any undisputed invoice for Services properly performed by such Fleet or other payment hereunder when such invoice or payment is due and payable hereunder, unless within sixty (60) days following Company’s receipt of a written notice from Contractor to Company of such non-payment, Company makes such payments in accordance herewith.
16.
Assignment. This Agreement shall inure to the benefit of and be binding upon the successors and/or permitted assigns of each Party hereto. This Agreement shall not be assigned, directly or indirectly (whether by merger, operation of law, change in majority ownership of any entity directly or indirectly controlling Contractor or otherwise) in whole or in part, by either Party without the prior written

-9-




consent of the other Party (such consent not to be unreasonably withheld, conditioned or delayed), except that Company may assign and transfer this Agreement to any affiliate or subsidiary of Company without such consent. Without in any way limiting any of the foregoing provisions of this Article 16, if Contractor assigns this Agreement, in whole or in part, the assignee (in the case of a direct assignment) and the ultimate parent of such assignee (in the case of a direct assignment) or the ultimate parent of Contractor (in the case of an indirect assignment after giving effect to such indirect assignment) shall be deemed for all purposes to have agreed (in addition to Contractor) to perform and be obligated for the obligations of Contractor under this Agreement. No assignment of this Agreement by Contractor shall release Contractor from any of its obligations under this Agreement. Any assignment or attempted assignment of this Agreement that is not in accordance with this Article 16 shall be deemed null and void.
17.
Confidentiality. Except as expressly authorized hereunder or by prior written agreement by an officer of Company, Contractor shall make no public announcement concerning this Agreement and all information contained herein or related to the Services is “Company Confidential Information” (as defined in the MSSA) and shall be held in strict confidence by Contractor. Contractor shall not disclose, publish, release, transfer or otherwise make available Company Confidential Information in any form to, or for the use or benefit of, any person or entity without Company’s express written consent. Contractor shall disclose Company Confidential Information only to its personnel who have a need to know in performance of the Services, and Contractor shall ensure that Company Confidential Information is kept strictly confidential by such personnel in accordance with this Article 17.
18.
Health, Safety, Environment, Taxes.
(a)
Contractor shall be solely responsible for Contractor Group’s (as defined in the MSSA) safe behavior and work practices while on any Company location. Contractor must immediately report all incidents (including safety hazards, near misses, motor-vehicle accidents, injuries, illnesses, spills, and property damage) that occur on a Company work site or location to the appropriate on-site Company representative. Contractor shall intervene and, if appropriate, stop work activity to ensure safety and operational integrity. If Company performs a root cause analysis (“RCA”) or other investigation of an incident, Contractor will fully cooperate with Company and promptly provide all reasonable access, assistance, and materials that Company may request; provided, that such provision would not materially violate Contractor’ applicable policies. For any Contractor Group incident occurring on a Company location, Contractor shall complete an incident report and conduct an incident investigation (to include an RCA) and deliver the non-privileged portions of these to a Company representative within one (1) week of the incident; provided, that if the circumstances of the incident are such that completion of Contractor’s incident investigation and RCA will, in good faith, require a longer period, then Contractor will deliver an initial report of the incident within one (1) week of the incident and the non-privileged portions of the final investigation and RCA as promptly as possible. Contractor’s RCA shall indicate how and why the incident occurred and identify actions that Contractor will take or is taking to prevent a future occurrence of the incident.
(b)
After an incident, Company may place Contractor on a mutually agreed-upon improvement plan, which may include any of the following:

-10-




(i)
Health, safety and environmental training conducted by Company, Contractor, or a third party;
(ii)
temporary or permanent removal of any member of Contractor Group from location;
(iii)
reporting of improvement throughout the process; and
(iv)
regular inspection of equipment or personnel.
(c)
If any member of Contractor Group exhibits behavior that creates a safety concern and does not reflect the corrective actions agreed-upon by Contractor and Company, and that personnel does not rectify the behavior within thirty (30) days, then Company may terminate this Agreement, without liability, other than for amounts owed for Services performed up to the time of termination, as of any date specified in a written notice to Contractor.
(d)
With respect to the personnel performing the Services pursuant to this Agreement, Contractor shall be solely responsible for compliance with all laws applicable to Contractor’s employees, including without limitation all laws and regulations regarding (i) the payment of wages and other compensation, (ii) the payment of any taxes, licenses, fees and other assessments levied upon the wages of the Contractor Group, as described in Section 9 of the MSSA, including any such taxes or similar assessments payable by withholding, and the payment of applicable employment taxes and other withholdings, and (iii) all other employment obligations and liabilities.
(e)
Without duplication of Article 18(d), Contractor shall pay or cause to be paid all taxes, charges and assessments of every kind and character required by statute or by order of any taxing authority with respect to the provision of the Services. No Party shall be responsible nor liable for any taxes or other charges levied or assessed against the facilities or property of the other Party, including ad valorem taxes (however assessed), or against the net worth or capital stock of such Party.
19.
Notices. All notices, requests, demands and other communications which are required or may be given under this Agreement shall be in writing and shall be deemed to have been duly given (i) when received if personally delivered; (ii) the day after it is sent, if sent for next day delivery to a domestic address by recognized overnight delivery service (e.g., DHL, UPS or Federal Express); (iii) upon receipt, if sent by certified or registered mail, return receipt requested; or (iv) when verified by automated receipt or electronic logs if sent by email. In each case notice shall be sent as indicated below:

-11-




If to Company to:
Pioneer Natural Resources USA, Inc.
Attn: Alba Tellez
5205 N. O’Connor Blvd. Suite 200
Irving, TX 75039
Email: Alba.Tellez@pxd.com

 
With a copy to:
Pioneer Natural Resources USA, Inc.
Attn: Senior Vice President & General Counsel 5205 N. O’Connor Blvd. Suite 200
Irving, TX 75039-3746
Email: Mark.Kleinman@pxd.com


If to Contractor to:
ProPetro Services, Inc.
Attn: Jeff Smith
P.O. Box 309
Midland, Texas 79702
Email: Jeff.Smith@propetroservices.com

With a copy to:
ProPetro Services, Inc.
Attn: Mark Howell (Legal Department)
P.O. Box 309
Midland, Texas 79702
Email: Mark.Howell@propetroservices.com

or to such other place and with such other copies as either Party may designate as to itself by written notice to the other Party.
20.
Severability. If any provision of this Agreement is found by a court of competent jurisdiction to be invalid or unenforceable, said invalid or unenforceable provision shall be disregarded only to the extent of its invalidity or unenforceability, and the balance of the provision and this Agreement shall be enforced as the integrated written agreement of the Parties.
21.
Waiver. No failure or delay by either Party in exercising any of its rights under this Agreement shall be deemed to be a waiver of that right, and no waiver by either Party of a breach of any provision of this Agreement shall be deemed to be a waiver of any subsequent breach of the same or any other provision.
22.
Counterparts. This Agreement may be executed in a number of identical counterparts which, taken together, shall constitute collectively one (1) agreement. This Agreement may be executed by Company and Contractor by portable document format (.pdf) signature, such that the execution of this Agreement by portable document format (.pdf) signature shall be deemed effective for all purposes as though this Agreement was executed as a “blue ink” original.
23.
Interpretation. The Exhibits to this Agreement are hereby incorporated into and deemed part of this Agreement for all purposes. All references to this Agreement include the Exhibits and other documents incorporated by reference into this Agreement, unless the context in which used will otherwise require. Unless otherwise expressly stated, all references to Articles, subsections, other subdivisions, and Exhibits refer to Articles, subsections and other subdivisions of, and Exhibits to, this Agreement. The word “or” is not exclusive and the word “include” and its derivatives will not

-12-




be construed as terms of limitation. Examples will not be construed as to limit, whether expressly or by implication, the matter they illustrate. The words “will” and “shall” are expressions of command, not merely expressions of future intent or expectation. The word “may” means has the right, but not the obligation, to do something, and the words “may not” mean does not have the right to do something. Unless otherwise expressly stated, the words “hereof,” “herein” and “hereunder” and words of similar import refer to this Agreement as a whole and not to any particular term of this Agreement. Unless otherwise expressly stated, the words “day,” “month” and “year” mean, respectively, calendar day, calendar month and calendar year. References to any law will be to such law as amended, supplemented or extended, or to a newly adopted law replacing such law. Headings are included for ease of reference only and will not affect the interpretation or construction of this Agreement.
24.
Not a Lease. Notwithstanding any provisions of this Agreement to the contrary, Company and Contractor acknowledge and agree that (i) Contractor’s provision of equipment, material, supplies and labor under this Agreement is solely in furtherance of Contractor’s performance of the Services for Company; (ii) Contractor shall be permitted to exchange or substitute pieces of equipment used in the performance of Services; and, (iii) no equipment provided by Contractor during the performance of the Services under this Agreement is a right-of-use asset.
25.
Effective Date. This Agreement shall become effective at 12:00:01 a.m. Central time on the calendar day immediately following the Closing Date, as such term is defined in the PSA (the “Effective Date”).
[THE REMAINDER OF THIS PAGE IS INTENTIONALLY LEFT BLANK; SIGNATURE PAGES FOLLOW]


-13-




IN WITNESS WHEREOF, each of Company and Contractor has caused this Agreement to be signed and delivered by its duly authorized representative on the dates set forth below but effective for all purposes on the Effective Date.
COMPANY:

PIONEER NATURAL RESOURCES USA, INC.


By:
/s/ Mark H. Kleinman
Name:
Mark H. Kleinman
Title:
Senior Vice President and General Counsel


















[Signature Page to Pressure Pumping Services Agreement]






CONTRACTOR:

PROPETRO SERVICES INC.


By:
/s/ Jeffrey D. Smith
Name:
Jeffrey D. Smith
Title:
Chief Financial Officer


[Signature Page to Pressure Pumping Services Agreement]




EXHIBIT A TO PRESSURE PUMPING SERVICES AGREEMENT
KEY PERFORMANCE INDICATORS FOR THE COILED TUBING SERVICES
Target KPI = 25 plugs drilled in a 24-hour period per well (average)
For illustrative purposes, performance over a period of time will be tracked and compared against expected drill-out rate of 25 plugs per 24-hour period
Example KPI Graph
pumpfilinga01.jpg

Exhibit A - 1




EXHIBIT B TO PRESSURE PUMPING SERVICES AGREEMENT
EFFICIENCY RATE
The formula below shall be used to calculate Contractor’s daily Efficiency Rate. The Efficiency Rate for a well shall be calculated by averaging the daily Efficiency Rates applicable to Contractor’s provision of the Services on that well.
pumpfilinga02.jpg


Exhibit B - 1




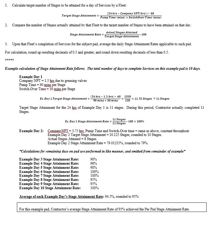
EXHIBIT C TO PRESSURE PUMPING SERVICES AGREEMENT
EXAMPLE CALCULATION OF STAGE ATTAINMENT RATE

Calculation of Stage Attainment Rate:

pumpfilinga03.jpg

Exhibit C - 1